KEGG   COMPOUND: C00871
Entry
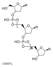
C00871                      Compound                               
Name
Alkylated DNA
Formula
C10H17O8PR2(C5H8O5PR)n
Structure
Other DBs
PubChem: 4128
KCF data

ATOM        33
            1   C1y C    11.9000  -16.4500
            2   C1x C    13.3000  -16.4500
            3   C1y C    13.7200  -15.1200
            4   O2x O    12.6000  -14.2800
            5   C1y C    11.4800  -15.1200
            6   R   R    15.0500  -14.7000
            7   C1b C    10.1500  -14.7000
            8   O1a O     9.1000  -15.6100
            9   O2b O    11.0600  -17.5700
            10  P1b P    11.0600  -18.9700
            11  O2b O    11.0600  -20.3700
            12  O1c O     9.6600  -18.9700
            13  O1c O    12.4600  -18.9700
            14  C1b C    13.8600  -20.3700
            15  C1y C    14.5600  -21.5600
            16  C1y C    14.9800  -22.8900
            17  C1x C    16.3800  -22.8900
            18  C1y C    16.8000  -21.5600
            19  O2x O    15.6800  -20.7200
            20  R   R    18.1300  -21.1400
            21  O2b O    14.1400  -24.0100
            22  P1b P    14.1400  -25.4100
            23  O2b O    14.1400  -26.8100
            24  O1c O    15.5400  -25.4100
            25  O1c O    12.7400  -25.4100
            26  C1b C    17.6400  -26.8100
            27  C1y C    18.3400  -28.0000
            28  C1y C    18.7600  -29.3300
            29  C1x C    20.1600  -29.3300
            30  C1y C    20.5800  -28.0000
            31  O2x O    19.4600  -27.1600
            32  R   R    21.9130  -27.5720
            33  O1a O    17.9324  -30.4592
BOND        35
            1     1   2 1
            2     2   3 1
            3     3   4 1
            4     4   5 1
            5     1   5 1
            6     3   6 1 #Up
            7     5   7 1 #Up
            8     7   8 1
            9     1   9 1 #Down
            10    9  10 1
            11   10  11 1
            12   10  12 1
            13   10  13 2
            14   11  14 1
            15   15  14 1 #Up
            16   16  17 1
            17   17  18 1
            18   18  19 1
            19   19  15 1
            20   16  15 1
            21   18  20 1 #Up
            22   16  21 1 #Down
            23   21  22 1
            24   22  23 1
            25   22  24 2
            26   22  25 1
            27   23  26 1
            28   27  26 1 #Up
            29   28  29 1
            30   29  30 1
            31   30  31 1
            32   31  27 1
            33   28  27 1
            34   30  32 1 #Up
            35   28  33 1 #Down
BRACKET     1    12.6700  -21.2100   12.6700  -19.6700
            1    15.8900  -26.0400   15.8900  -27.5800
            1  n
 ORIGINAL  1   14  15  16  17  18  19  20  21  22  23  24  25
 REPEAT    1

» Japanese version

DBGET integrated database retrieval system