KEGG   COMPOUND: C02160
Entry
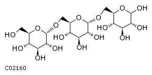
C02160                      Compound                               
Name
Isomaltotriose
Formula
C18H32O16
Exact mass
504.1690
Mol weight
504.44
Structure
Pathway
map02010  ABC transporters
Other DBs
CAS: 3371-50-4
PubChem: 5236
ChEBI: 27649
NIKKAJI: J20.655E
KCF data

ATOM        34
            1   C1y C    17.5929  -13.3483
            2   O2x O    18.7912  -12.6572
            3   C1b C    16.4136  -12.6572
            4   C1y C    17.5929  -14.7240
            5   C1y C    19.9959  -13.3419
            6   O2a O    15.5894  -13.7034
            7   C1y C    18.7912  -15.4089
            8   O1a O    16.4136  -15.4089
            9   O2a O    21.4921  -12.6572
            10  C1y C    19.9959  -14.7177
            11  C1y C    14.2770  -14.8382
            12  O1a O    18.7976  -16.7910
            13  C1b C    22.3734  -11.3385
            14  O1a O    21.1878  -15.4089
            15  O2x O    13.0787  -14.1534
            16  C1y C    14.2770  -16.2140
            17  C1y C    23.5589  -12.0295
            18  C1y C    11.8805  -14.8382
            19  C1y C    13.0787  -16.9052
            20  O1a O    15.4754  -16.9052
            21  C1y C    23.5589  -13.4053
            22  O2x O    24.7509  -11.3385
            23  C1y C    11.8805  -16.2140
            24  C1b C    10.7012  -14.1534
            25  O1a O    13.0852  -18.2873
            26  C1y C    24.7509  -14.0900
            27  O1a O    22.3734  -14.0900
            28  C1y C    25.9556  -12.0295
            29  O1a O    10.7012  -16.9052
            30  O1a O     9.6423  -15.0411
            31  C1y C    25.9556  -13.4053
            32  O1a O    24.7572  -15.4721
            33  O1a O    27.1538  -11.3385
            34  O1a O    27.1538  -14.0900
BOND        36
            1     1   2 1
            2     1   3 1 #Up
            3     1   4 1
            4     2   5 1
            5     3   6 1
            6     4   7 1
            7     4   8 1 #Down
            8     5   9 1 #Down
            9     5  10 1
            10   11   6 1 #Down
            11    7  12 1 #Up
            12    9  13 1
            13   10  14 1 #Down
            14   11  15 1
            15   11  16 1
            16   17  13 1 #Up
            17   15  18 1
            18   16  19 1
            19   16  20 1 #Down
            20   17  21 1
            21   17  22 1
            22   18  23 1
            23   18  24 1 #Up
            24   19  25 1 #Up
            25   21  26 1
            26   21  27 1 #Down
            27   22  28 1
            28   23  29 1 #Down
            29   24  30 1
            30   26  31 1
            31   26  32 1 #Up
            32   28  33 1
            33   31  34 1 #Down
            34    7  10 1
            35   19  23 1
            36   28  31 1

» Japanese version

DBGET integrated database retrieval system