KEGG   COMPOUND: C15817
Entry
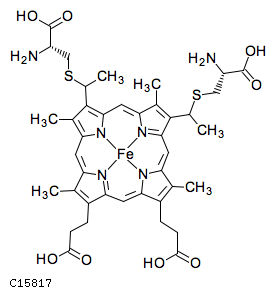
C15817                      Compound                               
Name
Heme C
Formula
C40H46FeN6O8S2
Exact mass
858.2168
Mol weight
858.81
Structure
Other DBs
PubChem: 47205142
ChEBI: 60562
KCF data

ATOM        57
            1   C8y C    37.1846  -26.5650
            2   C8x C    35.9421  -27.1070
            3   N4y N    37.2789  -25.2105
            4   C8y C    38.5158  -27.0773
            5   C8y C    34.6634  -26.5965
            6   C8y C    38.5983  -24.8959
            7   C8y C    39.3244  -26.0428
            8   C8y C    33.4574  -27.2017
            9   N5x N    34.4490  -25.2468
            10  C8x C    39.0856  -23.6767
            11  N4y N    34.3545  -22.3212
            12  C8y C    32.4875  -26.2972
            13  C8y C    33.1180  -25.0266
            14  C8y C    38.5866  -22.4589
            15  C8y C    34.5271  -20.9717
            16  C8y C    33.0050  -22.5591
            17  C8x C    32.5773  -23.8261
            18  C8y C    39.1986  -21.2280
            19  N5x N    37.2429  -22.2502
            20  C8y C    33.2963  -20.3959
            21  C8x C    35.7580  -20.3132
            22  C8y C    32.3641  -21.3702
            23  C8y C    38.2300  -20.2888
            24  C8y C    37.0236  -20.9193
            25  C1c C    33.2847  -19.0230
            26  C1a C    30.9970  -21.3702
            27  C1a C    38.2184  -18.9157
            28  C1a C    34.4684  -18.3229
            29  C1c C    40.5541  -21.0026
            30  C1a C    41.4682  -22.1129
            31  C1b C    38.4788  -28.5205
            32  C1b C    39.7196  -29.2705
            33  C6a C    39.6831  -30.7126
            34  O6a O    40.9237  -31.4626
            35  O6a O    38.4200  -31.4117
            36  C1b C    33.4023  -28.5455
            37  C1b C    32.2056  -29.1769
            38  C6a C    32.1506  -30.5206
            39  O6a O    30.9539  -31.1449
            40  O6a O    33.2855  -31.2470
            41  C1a C    31.0464  -26.3635
            42  C1a C    40.6322  -26.1060
            43  Z   Fe   35.7754  -23.7671
            44  S2a S    32.0789  -18.3419
            45  C1b C    32.0652  -16.9332
            46  C1c C    30.8256  -16.2332
            47  N1a N    29.6375  -16.9344
            48  C6a C    30.8122  -14.8346
            49  O6a O    29.5682  -14.1317
            50  O6a O    31.9918  -14.1382
            51  S2a S    41.0512  -19.6756
            52  C1b C    42.4428  -19.4439
            53  C1c C    42.9336  -18.1345
            54  C6a C    44.3310  -17.9020
            55  N1a N    42.0449  -17.0545
            56  O6a O    45.2316  -18.9967
            57  O6a O    44.8210  -16.5951
BOND        62
            1    11  16 1
            2    13  17 2
            3    14  18 1
            4    14  19 2
            5    15  20 2
            6    15  21 1
            7    16  22 2
            8    18  23 2
            9    19  24 1
            10   20  25 1
            11   22  26 1
            12   23  27 1
            13    6   7 1
            14   12  13 1
            15   16  17 1
            16   20  22 1
            17   21  24 2
            18   23  24 1
            19   25  28 1
            20   18  29 1
            21   29  30 1
            22    1   2 2
            23    4  31 1
            24    1   3 1
            25   31  32 1
            26    1   4 1
            27   32  33 1
            28    2   5 1
            29   33  34 2
            30    3   6 1
            31   33  35 1
            32    4   7 2
            33    8  36 1
            34    5   8 1
            35   36  37 1
            36    5   9 2
            37   37  38 1
            38    6  10 2
            39   38  39 1
            40    8  12 2
            41   38  40 2
            42    9  13 1
            43   12  41 1
            44   10  14 1
            45    7  42 1
            46   11  15 1
            47   11  43 1
            48    3  43 1
            49   25  44 1
            50   44  45 1
            51   46  45 1 #Down
            52   46  47 1
            53   46  48 1
            54   48  49 1
            55   48  50 2
            56   29  51 1
            57   51  52 1
            58   53  52 1 #Down
            59   53  54 1
            60   53  55 1
            61   54  56 2
            62   54  57 1

» Japanese version

DBGET integrated database retrieval system