KEGG   COMPOUND: C18177
Entry
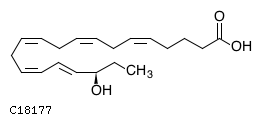
C18177                      Compound                               
Name
18R-HEPE;
18R-Hydroxy-5Z,8Z,11Z,14Z,16E-eicosapentaenoic acid
Formula
C20H30O3
Exact mass
318.2195
Mol weight
318.45
Structure
Brite
Lipids [BR:br08002]
 FA  Fatty acyls
  FA03 Eicosanoids
   FA0307 Hydroxy/hydroperoxyeicosapentaenoic acids
    C18177  18R-HEPE
Other DBs
PubChem: 96024393
ChEBI: 81563
LIPIDMAPS: LMFA03070025
KCF data

ATOM        23
            1   C2b C    27.9346  -22.9513
            2   C1b C    29.1249  -23.6516
            3   C1b C    30.3154  -22.9513
            4   C1b C    31.5759  -23.6516
            5   C6a C    32.7663  -22.9513
            6   O6a O    33.9568  -23.6516
            7   O6a O    32.7663  -21.5508
            8   C2b C    26.5340  -22.9513
            9   C2b C    24.1531  -22.9513
            10  C1b C    25.3435  -23.6516
            11  C2b C    22.7526  -22.9513
            12  C2b C    20.3016  -22.9513
            13  C1b C    21.5621  -23.6516
            14  C2b C    18.9011  -22.9513
            15  C1b C    18.2009  -24.1418
            16  C2b C    20.3016  -25.3322
            17  C2b C    21.4920  -24.6320
            18  C2b C    22.7526  -25.3322
            19  C2b C    18.9011  -25.3322
            20  C1c C    24.1531  -25.3322
            21  C1b C    25.4135  -24.6320
            22  C1a C    26.6040  -25.3322
            23  O1a O    24.1531  -26.7328
BOND        22
            1     1   2 1
            2     2   3 1
            3     3   4 1
            4     4   5 1
            5     5   6 1
            6     5   7 2
            7     1   8 2
            8     9  10 1
            9    10   8 1
            10    9  11 2
            11   12  13 1
            12   13  11 1
            13   12  14 2
            14   14  15 1
            15   16  17 1
            16   17  18 2
            17   16  19 2
            18   18  20 1
            19   20  21 1
            20   21  22 1
            21   20  23 1 #Up
            22   19  15 1

» Japanese version

DBGET integrated database retrieval system