 | | REACTION: R00434 | |
| Entry |
|
| Name |
GTP diphosphate-lyase (cyclizing; 3',5'-cyclic-GMP-forming)
|
| Definition |
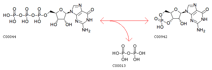
GTP <=> 3',5'-Cyclic GMP + Diphosphate
|
| Equation |
|
|
 |
| Reaction class |
|
| Enzyme |
|
| Pathway |
|
| Brite |
Enzymatic reactions [BR:br08201]
4. Lyase reactions
4.6 Phosphorus-oxygen lyases
4.6.1 Phosphorus-oxygen lyases (only sub-subclass identified to date)
4.6.1.1
R00434 GTP <=> 3',5'-Cyclic GMP + Diphosphate
4.6.1.2
R00434 GTP <=> 3',5'-Cyclic GMP + Diphosphate
|
| Orthology |
|
| Other DBs |
|
|
|
|