KEGG   REACTION: R02355
Entry
R02355                      Reaction                               
Definition
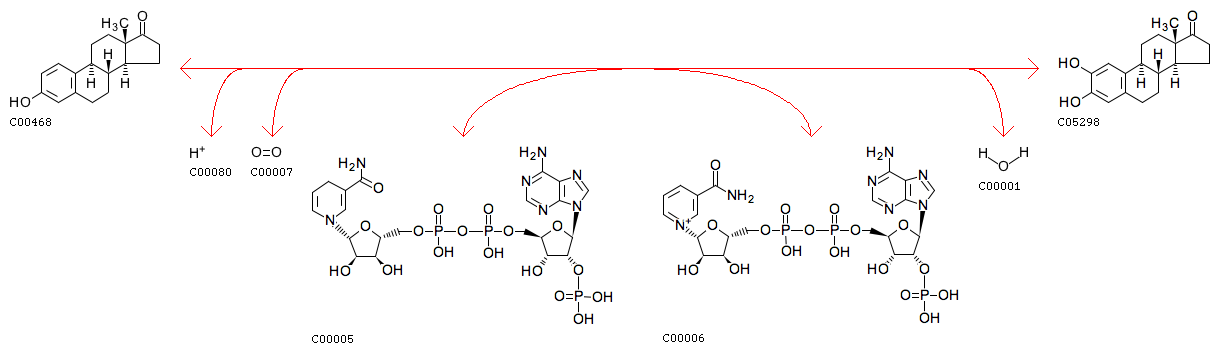
Estrone + H+ + Oxygen + NADPH <=> 2-Hydroxyestrone + NADP+ + H2O
Equation
Comment
NADH (see R02354)
Reaction class
RC00001  C00005_C00006
RC00046  C00468_C05298
Enzyme
Pathway
rn00140  Steroid hormone biosynthesis
Brite
Enzymatic reactions [BR:br08201]
 1. Oxidoreductase reactions
  1.14  Acting on paired donors, with incorporation or reduction of molecular oxygen
   1.14.14  With reduced flavin or flavoprotein as one donor, and incorporation of one atom of oxygen into the other donor
    1.14.14.1
     R02355  Estrone + H+ + Oxygen + NADPH <=> 2-Hydroxyestrone + NADP+ + H2O
IUBMB reaction hierarchy [BR:br08202]
 1. Oxidoreductase reactions
  1.14.14.1
   R04122  Alkane <=> ROH
    R02355  Estrone <=> 2-Hydroxyestrone
Orthology
K07408  cytochrome P450 family 1 subfamily A1 [EC:1.14.14.1]

  All links  
No link information was found.   
DBGET integrated database retrieval system