KEGG   REACTION: R05190
Entry
R05190                      Reaction                               
Name
acyl-CoA:malonyl-CoA C-acyltransferase(decarboxylating, oxoacyl- and enoyl-reducing)
Definition
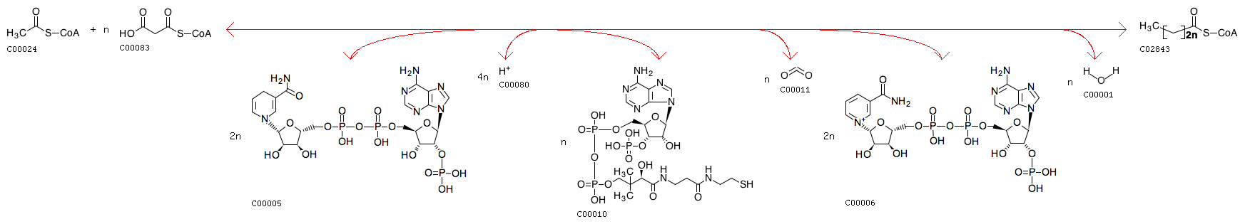
Acetyl-CoA + n Malonyl-CoA + 2n NADPH + 4n H+ <=> Long-chain acyl-CoA + n CoA + n CO2 + 2n NADP+ + n H2O
Equation
C00024 + n C00083 + 2n C00005 + 4n C00080 <=> C02843 + n C00010 + n C00011 + 2n C00006 + n C00001
Comment
multi-step reaction (see map00061)
Reaction class
RC00001  C00005_C00006
RC00004  C00010_C00024
Enzyme
Pathway
rn00061  Fatty acid biosynthesis
Brite
Enzymatic reactions [BR:br08201]
 2. Transferase reactions
  2.3  Acyltransferases
   2.3.1  Transferring groups other than aminoacyl groups
    2.3.1.86
     R05190  Acetyl-CoA + n Malonyl-CoA + 2n NADPH + 4n H+ <=> Long-chain acyl-CoA + n CoA + n CO2 + 2n NADP+ + n H2O
Orthology
K00667  fatty acid synthase subunit alpha, fungi type [EC:2.3.1.86]
K00668  fatty acid synthase subunit beta, fungi type [EC:2.3.1.86]
Other DBs
RHEA: 22899

  All links  
No link information was found.   
DBGET integrated database retrieval system