| Entry |
|
| Name |
2-hydroxy-5-methyl-cis,cis-muconate 2-oxo-5-methyl-cis-muconate isomerase
|
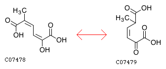
| Definition |
2-Hydroxy-5-methyl-cis,cis-muconate <=> 2-Oxo-5-methyl-cis-muconate
|
| Equation |
|
|
 |
| Comment |
xylH
Ref.: 1. Jounal of bacteriology Vol.177 No5 1196-1201
|
| Reaction class |
|
| Enzyme |
|
| Pathway |
| rn01120 | Microbial metabolism in diverse environments |
| rn01220 | Degradation of aromatic compounds |
|
| Module |
| M00569 | Catechol meta-cleavage, catechol => acetyl-CoA / 4-methylcatechol => propanoyl-CoA |
|
| Brite |
Enzymatic reactions [BR:br08201]
5. Isomerase reactions
5.3 Intramolecular oxidoreductases
5.3.2 Interconverting keto- and enol-groups
5.3.2.6
R05389 2-Hydroxy-5-methyl-cis,cis-muconate <=> 2-Oxo-5-methyl-cis-muconate
|
| Orthology |
|