| Entry |
|
| Name |
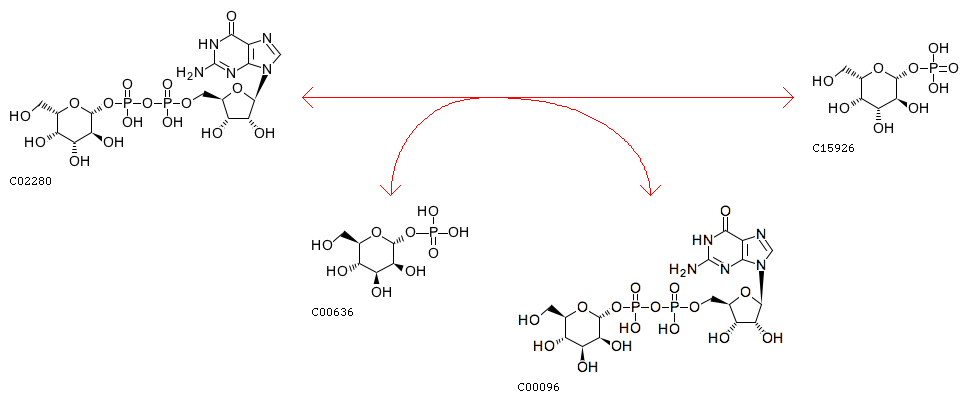
GDP-beta-L-galactose:hexose 1-phosphate guanylyltransferase
|
| Definition |
GDP-L-galactose + D-Mannose 1-phosphate <=> beta-L-Galactose 1-phosphate + GDP-mannose
|
| Equation |
|
|
 |
| Reaction class |
|
| Enzyme |
|
| Pathway |
| rn00053 | Ascorbate and aldarate metabolism |
| rn01110 | Biosynthesis of secondary metabolites |
|
| Module |
| M00114 | Ascorbate biosynthesis, plants, fructose-6P => ascorbate |
|
| Brite |
Enzymatic reactions [BR:br08201]
2. Transferase reactions
2.7 Transferring phosphorus-containing groups
2.7.7 Nucleotidyltransferases
2.7.7.69
R07678 GDP-L-galactose + D-Mannose 1-phosphate <=> beta-L-Galactose 1-phosphate + GDP-mannose
|
| Orthology |
|
| Other DBs |
|