KEGG   REACTION: R08941
Entry
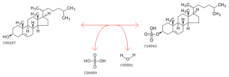
R08941                      Reaction                               
Name
cholesterol-sulfate sulfohydrolase;
steryl-sulfate sulfohydrolase
Definition
Cholesterol + Sulfate <=> Cholesterol sulfate + H2O
Equation
Reaction class
RC00231  C00187_C18043
Enzyme
Pathway
rn00140  Steroid hormone biosynthesis
rn01100  Metabolic pathways
Brite
Enzymatic reactions [BR:br08201]
 3. Hydrolase reactions
  3.1  Acting on ester bonds
   3.1.6  Sulfuric-ester hydrolases
    3.1.6.2
     R08941  Cholesterol + Sulfate <=> Cholesterol sulfate + H2O
Orthology
K01131  steryl-sulfatase [EC:3.1.6.2]

  All links  
No link information was found.   
DBGET integrated database retrieval system