KEGG   REACTION: R09447
Entry
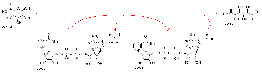
R09447                      Reaction                               
Definition
D-Glucuronate + NAD+ + H2O <=> D-Glucarate + NADH + H+
Equation
Reaction class
RC00001  C00003_C00004
RC00194  C00191_C00818
Other DBs
RHEA: 36338

  All links  
No link information was found.   
DBGET integrated database retrieval system