KEGG   REACTION: R10747
Entry
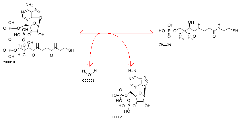
R10747                      Reaction                               
Name
CoA nucleotidohydrolase
Definition
CoA + H2O <=> Pantetheine 4'-phosphate + Adenosine 3',5'-bisphosphate
Equation
Reaction class
RC00002  C00010_C00054  C00010_C01134
Enzyme
Pathway
rn00332  Carbapenem biosynthesis
rn01110  Biosynthesis of secondary metabolites
Brite
Enzymatic reactions [BR:br08201]
 3. Hydrolase reactions
  3.6  Acting on acid anhydrides
   3.6.1  In phosphorus-containing anhydrides
    3.6.1.77
     R10747  CoA + H2O <=> Pantetheine 4'-phosphate + Adenosine 3',5'-bisphosphate
Orthology
K17879  peroxisomal coenzyme A diphosphatase NUDT7 [EC:3.6.1.77]
K18568  coenzyme A diphosphatase [EC:3.6.1.77]
Other DBs
RHEA: 64991

  All links  
No link information was found.   
DBGET integrated database retrieval system