KEGG   REACTION: R11965
Entry
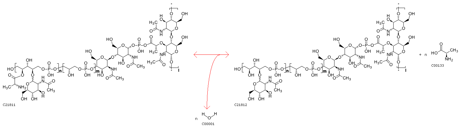
R11965                      Reaction                               
Name
teichoic acid D-alanylhydrolase
Definition
Wall teichoic acid + n H2O <=> Wall teichoic acid + n D-Alanine
Equation
C21811 + n C00001 <=> C21812 + n C00133
Enzyme
Brite
Enzymatic reactions [BR:br08201]
 3. Hydrolase reactions
  3.1  Acting on ester bonds
   3.1.1  Carboxylic-ester hydrolases
    3.1.1.103
     R11965  Wall teichoic acid + n H2O <=> Wall teichoic acid + n D-Alanine

  All links  
No link information was found.   
DBGET integrated database retrieval system