REACTION: R12631
Help
Entry
R12631 Reaction
Name
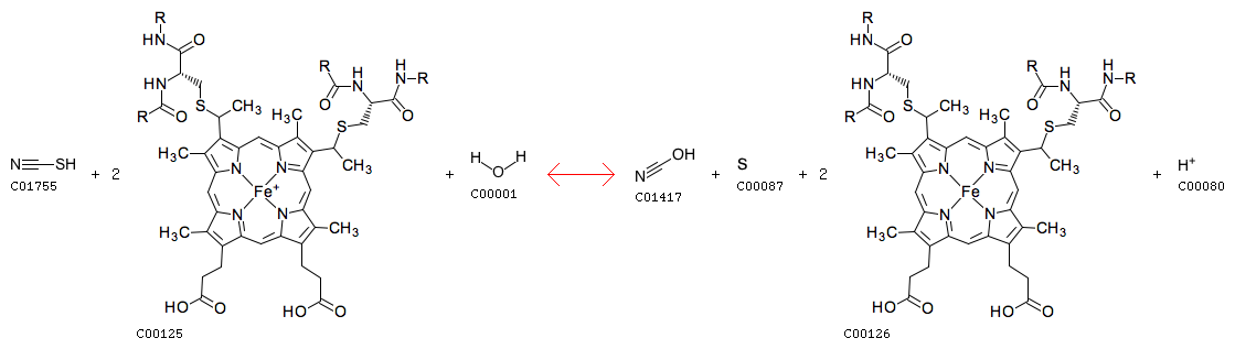
thiocyanate:cytochrome c oxidoreductase (cyanate and sulfur-forming)
Definition
Thiocyanate + 2 Ferricytochrome c + H2O <=> Cyanate + Sulfur + 2 Ferrocytochrome c + H+
Equation
C01755
+ 2
C00125
+
C00001
<=>
C01417
+
C00087
+ 2
C00126
+
C00080
Enzyme
1.8.2.7
Brite
Enzymatic reactions [BR:
br08201
]
1. Oxidoreductase reactions
1.8 Acting on a sulfur group of donors
1.8.2 With a cytochrome as acceptor
1.8.2.7
R12631 Thiocyanate + 2 Ferricytochrome c + H2O <=> Cyanate + Sulfur + 2 Ferrocytochrome c + H+
BRITE hierarchy
All links
No link information was found.
DBGET
integrated database retrieval system