| Entry |
|
| Name |
O4-succinyl-L-homoserine:hydrogen sulfide S-(3-amino-3-carboxypropyl)transferase;
O-succinyl-L-homoserine succinate-lyase (adding hydrogen sulfide)
|
| Definition |
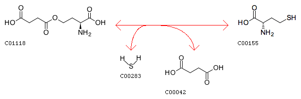
O-Succinyl-L-homoserine + Hydrogen sulfide <=> L-Homocysteine + Succinate
|
| Equation |
|
|
 |
| Reaction class |
|
| Enzyme |
|
| Pathway |
| rn00270 | Cysteine and methionine metabolism |
| rn01120 | Microbial metabolism in diverse environments |
|
| Brite |
Enzymatic reactions [BR:br08201]
2. Transferase reactions
2.5 Transferring alkyl or aryl groups, other than methyl groups
2.5.1 Transferring alkyl or aryl groups, other than methyl groups (only sub-subclass identified to date)
2.5.1.48
R01288 O-Succinyl-L-homoserine + Hydrogen sulfide <=> L-Homocysteine + Succinate
2.5.1.-
R01288 O-Succinyl-L-homoserine + Hydrogen sulfide <=> L-Homocysteine + Succinate
|
| Orthology |
| K10764 | O-succinylhomoserine sulfhydrylase [EC:2.5.1.-] |
|
| Other DBs |
|