 | | REACTION: R10803 | |
| Entry |
|
| Name |
hydrogen sulfide:coenzyme F420 oxidoreductase
|
| Definition |
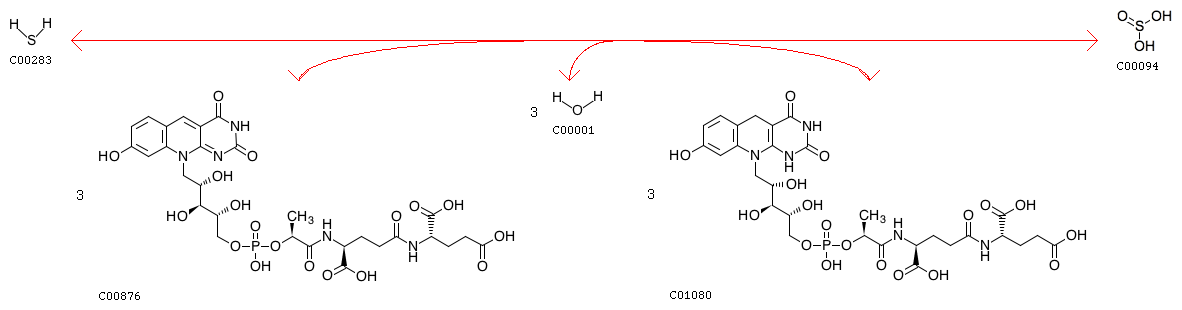
Hydrogen sulfide + 3 Coenzyme F420 + 3 H2O <=> Sulfite + 3 Reduced coenzyme F420
|
| Equation |
|
|
 |
| Reaction class |
|
| Enzyme |
|
| Brite |
Enzymatic reactions [BR:br08201]
1. Oxidoreductase reactions
1.8 Acting on a sulfur group of donors
1.8.98 With other, known, physiological acceptors
1.8.98.3
R10803 Hydrogen sulfide + 3 Coenzyme F420 + 3 H2O <=> Sulfite + 3 Reduced coenzyme F420
|
| Other DBs |
|
|
| All links
No link information was found.
|